服务热线
177-5061-9273

七、琥珀香:
琥珀原是树脂年久历变而成为凝固之体,香气极弱,但难散失。
在调香术中,所谓琥珀香时常与龙涎香相混用。欲加区别,主要是将兼以木香及烟熏气与龙涎香为主者称为琥珀香,故又可称之为木质龙涎香。而不带木香者称为龙涎香。
1.岩蔷薇(Labdanum)(赖百当)制品:
香气:温暖而甜的龙涎香-琥珀膏香香气,有些花香、药草香,柔甜,扩散力相当持久。
应用:广泛用于各种香水、化妆品、香皂等香精中,用其美好膏香及定香功效。

俗名:岩蔷薇、岩壁玫瑰
学名:Cistus ladaniferus
科属:半日花科(Cistaceae)岩玫瑰属
萃取部位:叶片、树脂蒸馏
方法:水蒸馏法
精油颜色:金黄色 放置越久越暗
原产地西班牙/摩洛哥,部分地中海地区也有,现代主生产地是西班牙西北角/葡萄牙东北角地区,采收方式也改变,当盛夏树脂旺盛时,剪下枝叶,置入热水中煮出胶质以取得树脂。但喜欢以岩玫瑰当定香剂的调香师认为品质最佳是在法国的鄂斯特雷(Esterel)只少量生产。
岩蔷薇提取物提取于半日花科几种岩蔷薇植物的枝叶,岩蔷薇是半日花科几种岩蔷薇植物枝叶中所含的半固体香树脂。它的酒精提取物在香料工业上叫赖百当。原产欧洲及地中海沿岸,自引入我国后,南京、杭州等地已大量栽种。其主要成分是苯乙酮和三甲基环己酮等。工业上根据不同要求制成岩蔷薇浸膏、岩蔷薇香膏、岩蔷薇油等形式使用,并且香气持久,定香力强,为重要的天然香料。广泛应用于高档香水、化妆品、烟草等香精中。
植物性状 半日花科,岩蔷薇属。常绿灌木,高1.5米,单叶对生无柄,全缘,披针形,长10厘米,基部1/3内有3条主脉,表面暗绿色,粘质,背面有白毛;花为顶生单花,直径8厘米,萼片3,圆形,花瓣5片,白色,基部红褐色雄蕊多数,子房上位一室。
提取方法 目前,常用有机溶剂萃取工艺制备岩蔷薇浸膏。具体为用醇浸液浓缩20小时后,再用苯萃取。此法浸膏得率较高质量较好,生产上多采用此法。
毒性作用 岩蔷薇浸膏对大白鼠的LD50值为10.0g/kg,可信限范围6.42-15.6g/kg,属实际无毒类;蓄积系数6.7,无明显的蓄积作用。体内,外致突变实验结果为阴性。可作为食用香料或者使用香精的成分试用。
2.水杨酸苄酯(Benzyl Salicylate)

化学性质 几乎为无色粘稠液体,在较低的室温中凝结成固体。香气较淡,略有甜味。沸点300℃,熔点24~26℃。溶于乙醇、大多数非挥发性油和挥发性油,微溶于丙二醇,不溶于甘油,几不溶于水。
天然品含于依兰油,康乃馨花等中。
香气:微弱甜辛,有似龙涎香-琥珀香、麝香气息,又有些花香、膏香与木香。香气虽弱,但极为持久。
常作为花香型和非花香型香精的助溶剂与好的定香剂使用。适用于香石竹、依兰、茉莉、香罗兰、铃兰、紫丁香、晚香玉、百花型等香精。也可极微量用于杏子、桃子、梅子、香蕉、生梨等食用香精中。
GB 2760—1996允许使用的食用香料。主要用于配制杏、桃、香蕉、树莓等型香精。
作为香料,特别是硝基麝香的溶剂,人造麝香和花香香料的定香剂。杀菌防腐剂。
毒性GRAS(FEMA)。LD50 2227mg/kg(大鼠,经口)。
使用限量FEMA(mg/kg):软饮料1.4;冷饮0.89;糖果1.8;焙烤食品0.01~2.2。
适度为限(FDA§172.515,2000)。
八、动物香:
动物香是属于有浊气的香料。动物泌出的香泽,既温暖又氤氲而有浊气;似有情感,这是动物香的主要特点。
1. 吲哚(Indole) (茉莉臭)

存在于许多天然花油,如茉莉、苦橙花、水仙、刺槐、香罗兰等中。
吲哚浓时是咸鲜有力而粗氲的动物香气,扩散力强而持久。
稀释后(浓度低于0.l%)或适量用于香精配方后则能产生愉快的茉莉花、橙花样鲜香。
吲哚是一种具有双环结构的有机杂环化合物,具有由氮组成的pyyrole环与苯环融合而成的苯环;任何含有这些吲哚结构的产品都被认为是吲哚。该化合物在室温下是芳香的和固体的,在香料工业中有许多应用,并且越来越多地医药工业。吲哚主要是作为氨基酸色氨酸降解过程中的副产品在人体内产生的。吲哚经过加工,通常会在人体粪便中积累,高浓度时,吲哚会有一种强烈的、令人不快的粪便气味。令人惊讶的是,在很低的浓度下,吲哚就有了吲哚一种宜人的花香,常被用作花香的一种成分,如桔子花。
在铁质或醛类存在下,都会发生变色现象;对光和空气较敏感,变红色。
白色结晶,有强烈粪便臭味。溶于热水、苯和石油英,易溶于乙醇和甲莼。能随水蒸气挥发,置于空气中或见光变红色,并树脂化。主要用作香料、染料、氨基酸、农药的原料。吲哚本身也是一种香料,常用于茉莉、紫丁香、荷花和兰花等日用香精配方,用量一般为千分之几。吲哚衍生物中有一些是染料、植物生长素和医药。在染料工业,可用于合成硫化染料,靛蒽青染料,还可代替苯胺合成1,3,5-三甲基二亚基吲哚等。吲哚还用于合成植物生长调节剂,如吲哚乙酸和吲哚丁酸等。
能随水蒸气挥发,置于空气中或见光变红色,并树脂化。高度稀释的溶液,可以作为香料使用。

在室温,吲哚是固体。吲哚广泛分布于自然环境中,尤其是人类和畜禽粪便之中,并且有强烈的粪臭味。然而,在很低的浓度下,吲哚具有类似于花的香味,是许多花香的组成部分 ,例如橘子花,吲哚也用来制造香水,煤焦油也会有吲哚。
吲哚化学是随着对靛青的研究开始发展的,继而转化为研究靛红,然后是羟吲哚。在1866年,阿道夫·冯·拜尔用锌粉将羟吲哚还原为了吲哚。1869年,他假设出了吲哚的结构,至今仍然被大家公认。
直到19世纪末,某些吲哚化合物也仅仅是作为重要的染料来看待。到了20世纪30年代,人们对吲哚的兴趣逐渐增强,因为吲哚作为一个核心基团出现在了很多重要的生物碱中,例如色氨酸和植物激素,到现在对于吲哚的研究仍然很活跃。

在胃肠道中,十字花科蔬菜释放的吲哚-3-甲醇(I3C)可转化成DIM和LTr1。I3C转化涉及3-亚甲基吲哚(3MI)的形成、甲醛释放、二氧化碳游离等步骤,甲醛在大肠中可与吲哚耦合生成I3C和DIM。©《中国科学》杂志社
吲哚在十字花科蔬菜(如卷心菜)中大量存在。吲哚是人体内其他物质的重要前体,因此,研究并用于生活方式和医疗用途。1866年,一位研究锌粉性质的科学家正式发现了这种化合物,他将锌粉中的奥辛多尔还原为吲哚。发现后,吲哚成为纺织工业的重要组成部分,随着研究的深入,吲哚在人体系统中所起的更大的作用得到了认识,色氨酸和生长素等物质中的吲哚核有助于更好地理解它们在体内的作用机制任何含有这种化合物或其衍生物的结构都能帮助酶或蛋白质形成正确的结构,甚至有助于纠正结构其中一个提议的方法是吲哚容易形成氢键,氢键对蛋白质的形成至关重要。含有与吲哚结构有关的环的蛋白质比没有吲哚环的蛋白质更能经受高温和化学操作。今天收获的许多吲哚都来自煤焦油,吲哚生物碱是一组特殊的化学物质,在世界各地的许多植物中都有发现,包括蛇足草和长春花。一种吲哚衍生物吲哚-3-甲醇,在十字花科蔬菜中大量发现,如花椰菜、花椰菜,这种吲哚衍生物具有抗癌、抗氧化和抗土壤侵蚀的特性。这些作用已经在随机对照研究中得到了很好的证明。更多的研究将揭示这种衍生物和其他类似衍生物在治疗生活方式疾病方面的应用。
近日,《国家科学评论》杂志在线发表了谭仁祥教授团队的研究成果。流调表明:经常食用西兰花、卷心菜、花椰菜等十字花科蔬菜可防癌,且认为此与其富含的吲哚-3-甲醇(I3C)密切相关。但I3C很不稳定,在体内快速代谢成多种代谢物,急需探明I3C在体内通过哪些途径变成了什么样的功效物质。该团队发现,I3C在小鼠胃肠道中变成了两个重要的抗癌物质¾3,3'-二吲哚甲烷(DIM)和2-(吲哚-3-基甲基)-3,3'-二吲哚甲烷(LTr1)。DIM是系列上市保健品的主要成分,也是进入临床试验的抗肿瘤候选新药。出乎意料的是:LTr1在多个肿瘤细胞系和小鼠模型上的抗癌效果均超DIM!于是,该团队系统研究了I3C等相关吲哚化合物的体内转化和形成过程,一个长期未解难题。
面对该挑战,该团队根据化学反应规律,提出了生物体内可能存在反应流变道(reaction flux derailing,缩写为RFD)的可能性,随后设计系列实验,用多个实验验证了反应变道的概念。采用反应流变道策略,直接在I3C转化体系中添加带标记的I3C类似物,诱使I3C的代谢反应途径“变道”,以捕获I3C代谢途径中的中间体,从而揭示了:(1)从I3C到DIM、再到LTr1的转化途径;(2)内源性吲哚(色氨酸分解物)和甲醛(甲醇、肌酸和叶酸的常见代谢物)耦合产生I3C和DIM的机制;(3)以上转化过程的决定因素(胃酸、肠道菌、消化道的酸碱梯度等)。基于这些发现,谭仁祥团队得出的结论是:在上消化道,I3C可通过脱甲醛(主要)和二氧化碳释放(次要)途径生成DIM,随后DIM再与3-亚甲基吲哚(3MI)发生Michael加成反应,形成LTr1;在大肠,甲醛与一分子或两分子吲哚耦联,分别生成内源性的I3C和DIM。
综上所述,该工作发现了LTr1的成药倾向性;提出并验证了生物体内反应流变道的概念,建立了相关实验方法,从而揭示了I3C家族分子的内源性合成途径及胃肠道转化过程,使人们对十字花科蔬菜(富含I3C)的重要性有了新的认识。
研究详情请见原文:Post-ingestion conversion of dietary indoles into anticancer agents. https://doi.org/10.1093/nsr/nwab144
2.乙酸对甲酚酯 (晚香玉臭)(p-Cresyl Acetate)

存在于白兰、香罗兰、大花茉莉、水仙、依兰、卡南加等精油中。
沸点:212.5℃,密度:1.0657,折光率:1.4991,闪点:90℃,无色液体
毒性GRAS(FEMA)。LD501900mg/kg(大鼠,经口)。
使用限量FEMA(mg/kg):软饮料0.5~1.0;冷饮1.3;糖果4.3;焙烤食品4.4;胶姆糖0.30~220;调味品10。适度为限(FDA§172.515,2000)。
化学性质无色液体。沸点212℃,相对密度1.044-1.050,折射率1.499-1.502,闪点95℃,溶于2体积Chemicalbook70%乙醇及油质香料,酸值≤1.0。浓时有强的水仙样花香及粗氤氲动物香。淡时(<1%)香气较舒适。香气强烈,但不留长。
适用于水仙、黄水仙与大花茉莉香型。在白兰、紫丁香、铃兰、风信子、香罗兰、依兰香型中也较宜,有增加浓郁花香的效用,用量一般在1%以下,在食用香精中有时用于坚果香等型香精中。
调合香料,调配依兰依兰、水仙、卡南加依兰、忍冬等香精。在1%以下的浓度有充分的效果。少量用于食品香精。
GB 2760一96规定为允许使用的食用香料。主要用于配制香蕉、樱桃、果仁和杂锦水果等型香精。
适用于水仙、黄水仙与大花茉莉香型。在白兰、紫丁香、铃兰、风信子、香罗兰、依兰香型中也较宜,有增加浓郁花香的效用,用量一般在1%以下,在食用香精中有时用于坚果香等型香精中。调合香料,调配依兰依兰、水仙、卡南加依兰、忍冬等香精。在1%以下的浓度有充分的效果。少量用于食品香精。GB 2760一96规定为允许使用的食用香料。主要用于配制香蕉、樱桃、果仁和杂锦水果等型香精。用作调香剂用于烘烤食品、冰冻乳制品。
九、辛香:
辛香是来自辛香料(Spices)。天然辛香料可从有关香料植物的叶、枝、茎、花、果、籽、树皮、木、根等中提取。
在日用化学品香精中使用辛香,适当选用,可取得独特风格。
辛香代表物:
八角茴香油、小茴香油、花椒油、丁香油、肉桂油、月桂叶油、肉豆蔻油、芹菜子油、芫荽子油、姜油等。
丁香酚、异丁香酚、大茴香脑、肉桂醛、乙酰基异丁香酚、异丁香酚甲醚等。
1.丁香酚(Eugenol)

香气:带干甜的花香和辛香。有香石竹气息,气势较强,透发有力,尚持久。
应用:是调配香石竹花香的体香。可广用于许多花香香精。烟草香精中亦常用之。

丁香酚(英文名Eugenol),化学名为4-烯丙基-2-甲氧基苯酚。是一种具备丁香花味道一类液体,化学式为C10H12O2,是无色或淡黄色液体,熔点-9.2--9.1℃,沸点253.2℃,相对密度1.065(20/4℃),折光率1.5410。能与醇、醚、氯仿、挥发油混溶,溶于冰醋酸和苛性碱溶液,不溶于水。具备有抑菌,杀病毒的作用,做为皂用,服用的香料,还可以制成很多花的单方精油,能够调配满天星型香料,用于配制干果的浓香型等。
抗菌:是在1:8000~1:16000浓度时,对致病性真菌有抑制作用;在1:2000~1:8000浓度时,对金黄色葡萄球菌及肺炎、痢疾(志贺低)、大肠、变形、结核等杆菌均有抑制作用。
健胃:5%的乳剂可使胃粘液分泌显著增加,而酸度不增加。
家兔静脉注射可产生麻醉、降低血压、呼吸抑制与抗惊厥等作用,但小鼠皮下注射不产生麻醉作用。体外,经肌肉标本实验表明有强的抗组织胺作用。
毒性:大鼠口服的LD50为1.93g/kg。
丁香油酚(英语:Eugenol,分子式C10H12O2),是一种有机化合物,存在于多种植物中,富含于其精油中,如月桂油等。具有持久香气,常作为香皂的香料。
丁香油酚是苯基丙烯,烯丙基链取代的邻甲氧基苯酚。丁香油酚是苯丙类化合物中的一员。它是一种无色至淡黄色油状液体,从特别是在丁香油、肉豆蔻、肉桂、罗勒和月桂叶某些精油提取。它存在于丁香花蕾油中80-90%的浓度,在丁香叶油82-88%的浓度。
丁香油酚的英文名字“eugenol”源自丁香其中一个属名——“Eugenia”(番樱桃属)。丁香的香气主要来自其中的丁香油酚。
2.异丁香酚(Iso-eugenol)

香气:柔和甜青的辛香,有香石竹、丁香花样花香,又有些似龙涎香、麝香、豆香与膏香气息。气势虽平和,但仍有力而持久。
异丁香酚是化学物质,Isoeugenol,分子式是C10H12O2,分子量是164.12。用于配制香精和制备香兰素。可用于配制依兰、肉豆蔻等精油;也可用以配制悬钩子、桃子、辛香型、丁香型香味的食用香精。是半合成香兰素的原料。
提取来源:存在于丁香、卡南加香石竹、晚香玉等精油中。常为顺式与反式异构体的混合物,以反式为主。顺式异构体:沸点134~135%℃ (1.7kPa),1.0837,l.5726;反式异构体:沸点141~142℃/1.7kPa,1.0852,1.5784。
其他:与碱及铁质作用易变色,不宜用于白色加香产品。具柔和甜清的辛香,有香石竹、丁香花样花香。
用于相调较丁子香酚优雅,常用作康乃馨香精的主剂,其他各种花香香精也广泛应用。用作化妆品和皂用香精甚安定。还作为食品的香料,用于苹果、葡萄、李子、杏、覆盆子(树莓)或胡桃类的食品香精。在牙科药物中也有应用。工业是一般用异丁子香酚氧化制得香兰素。
十、豆香(包括粉香)
具有豆香的豆(籽)类香料植物中的香荚兰豆、黑香豆、可可豆的制品,在调香上早就应用。
豆香的合成品如香兰素、乙基香兰素、香豆素、洋茉莉醛等等,它们是许多香型的日用化学品香精中必用的豆香兼粉香香料。
1.香荚兰(Vanil1a)豆制品:
又名香子兰、香草兰、香草、香兰。现已成为各国消费者最为喜欢的一种天然食用香料,故有“食品香料之王”的美称。
在我国,香荚兰被名列“五兰”之首(香荚兰、米籽兰、依兰、白兰、黄兰)。
青甜的豆香带有膏香、粉香和甜辛香,更有木香、烟草香和海狸香样的香气,还有些花香似紫罗兰和金合欢。香气和善,浓郁多韵,相当持久,是最好的豆香。
香兰素是其主要成分,但单独香兰素的香气不是它的特征。它的天然香味是不能用合成的香兰素去替代的。
香荚兰豆酊是一种天然香荚兰豆酊剂香料,由兰科植物香子兰的果实制得,具清甜的豆香,有很好的香草奶油气息。主要成分是香兰素,还有大茴香醛、大茴香醇、大茴香酸等。香荚兰豆产于墨西哥、马达加斯加、留尼汪、印尼等地,我国也有引种。将未完全成熟的香子兰果经水浸、热晒、发酵、烘干等工艺制成深棕色香荚兰豆,再用乙醇浸制成酊剂。香荚兰豆酊主要用于巧克力、糖果、调味剂和烟草用,在高级香水、香粉、香精中也应用它。药用用作芳香剂。其美好的天然风味是人造香兰素所无可比拟的。香荚兰豆酊为我国GB2760—2007《食品添加剂使用卫生标准》允许应用的食用香料。主要用于冷饮、糕饼、糖果、烟和酒用香精。
香荚兰豆酊为浅棕色液体,有清甜的豆香和膏香味,能赋予食品豆香味。

香荚兰又称香子兰,英文名称为VanillaplanifoliaAndrews,属兰科(Orchidaceae)香子兰属。多年生攀缘籐木,长10~25m。叶互生,近无柄,长椭圆形或宽披针形,先端渐尖或急尖,长8.5~25cm,宽2.5~8cm。总状花序,腋生,由20朵以上花组成,绿色或绿黄色;萼和花瓣窄倒披针形,唇瓣窄,喇叭状,短小,具小圆齿裂片。蒴果,三角形,长5~8cm。原产地与栽培区域:香荚兰原产于墨西哥。1960年从印度尼西亚引入我国,先后在福建厦门、海南岛和云南西双版纳等地栽培。世界上主要栽培区在马达加斯加、塔希提岛、科摩罗、留尼汪、印度尼亚西、塞舌尔、毛里求斯、瓜德罗普岛等热带国家,其中马达加斯Chemicalbook加占世界产量80%。生长习性:香荚兰是热带植物,生长期要求气候温暖湿润,雨量充沛,但一年内要求有两个月的干旱期,以促使定期开花。最适宜的温度是25~30℃,相对湿度80%左右和70%的光照。要求富含腐殖质、疏松、排水良好的微酸性土壤。香荚兰只能从土壤吸收很少养分,主要的养分由表层的腐殖土供应,但在瘠薄、排水良好的砂壤土上,只要有较厚的覆盖物,也能生长良好。在厦门地区1月正值少雨期,香荚兰从1月下旬至3月上旬抽生花芽,3月下旬至6月上旬为开花期,从开花到荚果成熟约需一年的时间。香荚兰荚果的芳香物质,主要成分有香兰素、丙烯醛、香兰酸、3,4-羟基苯甲酸、对羟基苯甲醛等。主要用作糖果、巧克力、冰淇淋、卷烟等香精。
香荚兰豆酊为香荚兰豆的乙醇提取液,主要含有香兰素、大茴香醛、大茴酸、洋茉莉醛和羟基苯甲醛等。香荚兰豆酊为香荚兰豆经发酵,再用乙醇提取而得。在发酵过程中,应防止荚果发霉和Chemicalbook变质,一旦发现有发霉的荚果,就应取出分别处理。香荚兰豆过95℃热水,擦除表面水后打包,在干燥室内发酵,然后开包晾干、陈放,用乙醇提取,提取液经过滤、浓缩即得香荚兰豆酊。
2.香兰素(Vanillin)

香气:甜青带粉气的豆香,有香荚兰豆香气,微辛但较干。香气浓郁,留香特长。
是重要的香料之一,是获取粉香、豆香的好香料。常作粉底香用。
广用于几乎所有香型,以增甜香。因易导致变色,白色加香产品中不宜使用。
在食用、烟用中应用也极广,而且用量也较大,比化妆品用得多。

香兰素(香草醛 Vanillin),化学名称为3-甲氧基-4-羟基苯甲醛,具有香荚兰豆香气及浓郁的奶香,起增香和定香作用,广泛用于化妆品、烟草、点心、糖果以及烘烤食品等行业,是全球产量最大的合成香料品种之一,工业化生产香兰素已有多年的历史。天然香兰素(包括生物法制备香兰素)相比合成香兰素,香气更纯正,不刺激,更天然。

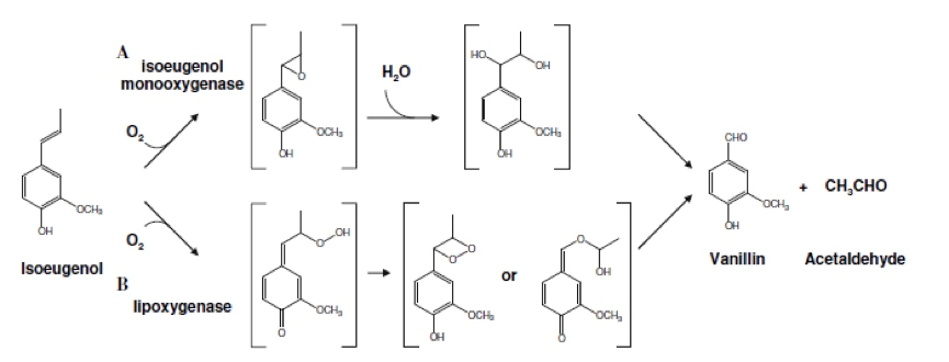
由不同天然底物合成天然香兰素

由异丁香酚生物催化合成香兰素的机理
国外报道利用异丁香酚转化为香兰素的最高产量为32.5g/L,国内报道的最高产量是46.1g/L,由于采用异丁香酚–水双相催化,未注明是有机相中的含量,还是相对于整个反应体系中的含量,剩余底物较多。
国外利用生物技术生产香兰素的厂家有索尔维、Rhodia、Mane S.A. 等,国内厂家有爱普香料等公司。此类香料的国内外进出口数据及相关价格见下表(仅供参考)

随着人们健康概念的加深,对天然香料的需求也必将增加,利用生物催化等生物技术合成天然香料必将越来越火。
是获取粉香、豆香的好香料。常作粉底香用。可广用于几乎所有香型,如紫罗兰、草兰、葵花、东方香型中。能和洋茉莉醛、异丁香酚苄醚、香豆素、麝香等合用兼作是定香、修饰剂与和合剂,也可用于掩盖不良气息。在食用、烟用香精中应用也较广,而且用量也较大。在香荚兰豆型、奶油、巧克力、太妃香型中都是必用香料。
香兰素是我国规定允许使用的食用香料,可作定香剂,是配制香草型香精的主要原料。也可直接用于饼干、糕点、糖果、饮料等食品的加香。用量按正常生产需要,一般在巧克力中970mg/kg;口香糖中270mg/kg;糕点、饼干中220mg/kg;糖果中200mg/kg;调味品中150mg/kg~冷饮中95mg/kg。
GB 2760 1996规定为允许使用的食用香料。广泛用于配制香草、巧克力、奶油等型香精,用量可达25%~30%,或直接用于饼干、糕点,用量0.1%~0.4%,冷饮0.01%~0.3%,糖果0.2%~0.8%,尤其是含乳制品。
重要的合成香料,广泛用于日用化用品,作食用、烟用和酒用得法 精。在食品工业中用量大,用于配制香草、巧克力、奶油等型香精,用量可达25-30%,直接于饼干、糕点,用量0.1-0.4%,冷饮0.01-0.3%,糖果0.2-0.8%,尤其是含乳制品。用于分析化学,检验蛋白质氮杂茚、间苯三酚及单宁酸。在制药工业,用于生产降压药甲基多巴、儿茶酚类药物多巴,以及白内停、敌菌净等。
3.香豆素(Coumarin)

香气:青甜似黑香豆的豆香,带干的药草香,茴辛香。稀释后似干的稻草、坚果和烟叶气息。
香豆素是主要豆香香料之一,它与香兰素一样,是获得花粉香的老品种,能与香兰素及洋茉莉醛协调和合得好。
在膏霜及香皂香精中习用已久。在香薇、素心兰、紫罗兰、薰衣草、烟草香、花香等香型中,为必用品。可增药草香,并同时可作为一种定香剂。
香豆素最早由Vogel于1820年从圭亚那的零陵香豆,即黄香草木犀(Melilotus officinalis)中获得。香豆素的英文名称“Coumarin”源于零陵香豆的加勒比词“coumarou”。
香豆素是一种重要的香料,常用作定香剂、脱臭剂,配制香水和香料,也用作饮料、食品、香烟、塑料制品、橡胶制品等的增香剂。医药上加入药剂中作为矫味剂。目前经动物实验,被证实具有小鼠致癌性,因此有些国家因此订定摄取的安全剂量。由于啮齿动物会将香豆素代谢为"3,4-环氧香豆素",这种代谢产物可引发内出血因而造成死亡。但是香豆素在不同物种间的代谢途径不同,人类则是将香豆素代谢成毒性较低的"7-羟基香豆素",这种代谢物“可能造成部分体质较敏感的人肝功能受损”(may cause liver damage in some sensitive people,因此香豆素对人类的毒性较低。动物实验确实发现长期服用香豆素会引发啮齿动物之癌症,不过人体试验目前则无相关报导,反倒是能抑制某些癌细胞的增殖。
香豆素为无色或白色结晶或晶体粉末,有类似香草精的愉快香味。存在于零陵香豆、薰衣草油等中。难溶于冷水,能溶于沸水,易溶于甲醇、乙醇、乙醚、氯仿、石油醚、油类。有挥发性,能随水蒸气蒸馏并能升华。
荧光是香豆素一个特有的物理性质,在紫外光下,常显蓝色荧光。通过荧光人们很易辨认出它们的存在。在C-7位引入羟基后,可使荧光加强,即使在可见光下,也能观察到荧光。
香豆素在热稀碱液中加热时,其内酯环可缓慢水解开裂,生成顺式邻羟基肉桂酸盐而溶解成一黄色溶液。若酸化,生成的顺式邻羟基肉桂酸极不稳定,再环化可重新生成香豆素;若长时间放置在碱液中,则顺式盐转化为反式邻羟基肉桂酸,此时再酸化,得到稳定的反式邻羟基肉桂酸,不会再发生内酯化。
香豆素硝化、磺化和发生傅-克反应都在C-6位上进行;氯甲基化发生在C-3位上;Michael加成则发生在C-4位上。室温下香豆素与溴的四氯化碳溶液作用,可得到在C-3和C-4双键上加成生成的二溴化物。在钯碳催化下,该双键亦可加氢。